10. Sınıf Anka Matematik Sayfa 127-129 Cevapları
Alıştırmalar 3-1
1) Aşağıdaki ifadelerin polinom olup olmadıklarını araştırınız. Polinom olanların derecelerini, baş katsayılarını ve sabit terimlerini bulunuz.
a) P(x) = - 2x4 + 5x5 - x2 + 1
b) Q(x) = √3x2 -3/4x + 1
c) R(x) = 3 / x2 + 1
ç) T(x) = √2x + 3x2 - 1
2) P(x) = 5x3 - 4x2 + 2x - 3 polinomu veriliyor. Aşağıdaki cümleler doğru ise yay ayraç içine “D”, yanlış ise “Y” yazınız.
(D) P(x) in baş katsayısı 5 tir.
(D) Katsayılar toplamı 0 dır.
(Y) Sabit terimi 3 tür.
(D) P(x), 3. dereceden bir polinomdur.
(Y) P(-1) = - 10 dur.

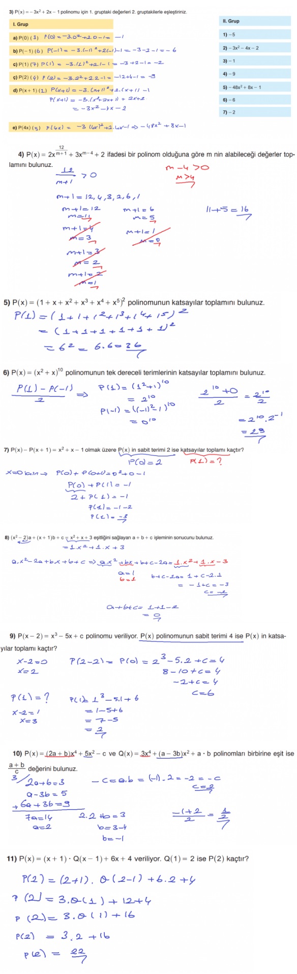
3) P(x) = - 3x2 + 2x - 1 polinomu için 1. gruptaki değerleri 2. gruptakilerle eşleştiriniz.
I. Grup
a) P(0) ( )
b) P(-1) ( )
c) P(1) ( )
ç) P(2) ( )
d) P(x + 1) ( )
e) P(4x) ( )
II. Grup
1) -5
2) - 3x2 - 4x - 2
3) - 1
4) - 9
5) - 48x2 + 8x - 1
6) - 6
7) - 2
4) P(x) = 2x12/m+1 + 3xm - 4 + 2 ifadesi bir polinom olduğuna göre m nin alabileceği değerler toplamını bulunuz.
5) P(x) = (1 + x + x2 + x3 + x4 + x5)2 polinomunun katsayılar toplamını bulunuz.
6) P x x2 x 10 ( h = ( + h polinomunun tek dereceli terimlerinin katsayılar toplamını bulunuz.
7) P(x)- P(x + 1) = x2 + x - 1 olmak üzere P(x) in sabit terimi 2 ise katsayılar toplamı kaçtır?
8) (x2 - 2)a + (x + 1)b + c = x2 + x + 3 eşitliğini sağlayan a + b + c işleminin sonucunu bulunuz.
9) P(x - 2) = x3 - 5x + c polinomu veriliyor. P(x) polinomunun sabit terimi 4 ise P(x) in katsayılar toplamı kaçtır?
10) P(x) = (2a + bhx4 + 5x2 - c ve Q(x) = 3x4 + (a - 3bhx2 + a $ b polinomları birbirine eşit ise a + b / c değerini bulunuz.
11) P(x) = (x + 1) $ Q(x - 1)+ 6x + 4 veriliyor. Q(1) = 2 ise P(2) kaçtır?

12) P(2x + 1) = 5x3 + 4x2 + 6x + 9 ise P(- 1) aşağıdakilerden hangisidir?
A) –2 B) –1 C) 0 D) 1 E) 2
13) P(2x - 1) = x3 + ax2 - x + 4 polinomu için P(3h = 2 ise a kaçtır?
A) –2 B) –1 C) 0 D) 1 E) 2
14) P(x) = (3m - 9hx2 + (n + 2)x - m $ n + 3 sabit polinom ise P(100) kaçtır?
A) –2 B) –3 C) –9 D) 4 E) 9
15) P(x) = x2 + 2ax + 5a ve Q(x) = (b + 2)x3 + x2 + (c + 1)x + 20 polinomları için P(x) = Q(x) olduğuna göre a + b + c işleminin sonucu aşağıdakilerden hangisidir?
A) 7 B) 9 C) 12 D) 13 E) 15
16) P(x)- P(x + 2) = x - 2 olmak üzere P(x) in katsayılar toplamı 5 ise P(x + 7h polinomunun sabit terimi kaçtır?
A) 1 B) 2 C) 3 D) 4 E) 5

Not: Bu sayfadaki cevaplar zekihaber.com sitesinden alınmıştır.
Yorumların her türlü cezai ve hukuki sorumluluğu yazan kişiye aittir. Eğitim Sistem yapılan yorumlardan sorumlu değildir.