9. Sınıf Matematik Sayfa 78-79-80 Cevapları Pasifik Yayınları
2. DEĞERLENDİRME SORULARI
1. Aşağıdaki ifadelerin doğru olanlarına “D”, yanlış olanlarınaysa “Y” yazınız.
(D) 2 ∈ {x | x, bir doğal sayı}
(Y) 8 ∈ {1, 3, 5, 7, 9} // 8 ∉ {1, 3, 5, 7, 9}
(D) {8, 12, 16} ⊆ {4, 16, 12, 8}
(D) {x | x, çift doğal sayı} ⊆ { x | x, bir doğal sayı}
(D) ∅, kendisinin bir alt kümesidir.
(Y) {1}, boş kümenin bir alt kümesidir.
(Y) Eleman sayıları aynı olan kümelere eşit kümeler denir. // Elemanları aynı olmalıdır.
(Y) {1, 2, 3} ve {2, 4, 6} kümeleri ayrık kümelerdir. // 2 ortak elemanı bulunduğu için ayrık küme değildir.
2. K = {x, y, 6, 9} kümesi için aşağıdaki durumların doğru ya da yanlış olduğunu belirtiniz.
(Y) a) x ∉ K // x ∈ K olup yanlıştır.
(D) b) 6 ∈ K
(D) c) y ∈ K
(D) ç) z ∉ K
3. Ç = { x | x, 24 ün bir çarpanı} kümesi ile ilgili aşağıdaki durumların doğru ya da yanlış olduğunu belirtiniz.
Ç = { x = 1,2,3,4,6,8,12,24}
(D) a) 4 ∈ Ç
(D) b) 48 ∈ Ç
(D) c) 9 ∉ Ç
(Y) ç) 16 ∈ Ç
(D) d) 1 ∈ Ç
4. Aşağıdaki cümlelerde noktalı yerleri kutu içerisinde verilen uygun ifadelerle tamamlayınız.
boş küme, ayrık kümeler, eşit kümeler, evrensel küme, alt kümesi, kesişim kümesi, birleşim kümesi
• A ve B gibi iki küme aynı elemanlardan oluşuyorsa bu kümelere eşit kümeler denir.
• İki kümenin kesişimi boş küme ise bu kümelere ayrık kümeler denir.
• Hiçbir elemanı olmayan kümeye boş küme denir.
• Doğal sayılar kümesi, tam sayılar kümesinin alt kümesidir.
• Verilen herhangi iki kümede ortak olan elemanların oluşturduğu küme,
bu iki kümenin kesişim kümesidir.
5. Aşağıda verilen ifadeleri, kümelerle ilgili sembolleri kullanarak yazınız.
a) D kümesi 3, 4 ve 6 elemanlarından oluşmaktadır. // D = {3,4,6}
b) 5, N kümesinin bir elemanıdır. // 5 ∈ N
6. Aşağıda verilen kümeleri liste yöntemiyle ve ortak özellik yöntemiyle gösteriniz. Bu kümelerin sonlu ya da sonsuz küme olup olmadıklarını belirleyiniz.
a) A, 15 ten küçük doğal sayıların kümesi
b) B, 31 gün içeren ayların kümesi
c) C, – 5 ten büyük tam sayıların kümesi
ç) Ç, 3 ten büyük doğal sayıların kümesi

7. Aşağıda verilen kümelerin eşit olup olmadıklarını “=” ve “≠” sembollerini kullanarak belirleyiniz.
a) {k, o, r ,t} = {t, o, r, k}
b) {1, 4, 5, 3} ≠ {3, 5, 1, 2} // 2 elemanı yok
8. Aşağıdaki kümelerin bütün alt kümelerini bulunuz.
a) { } b) {1} c) {8, 15} ç) {5, 12, 13} d) {k, ü, m, e}
9. Mehmet, 4 ün {4, 8, 12, 16} kümesinin elemanı olduğunu göstermek için {4} ∈ {4, 8, 12, 16} yazmıştır.
Mehmet, bu gösterimde bir hata yapmıştır. Bu hata nedir? Mehmet bu hatayı nasıl düzeltmelidir?
{4} ∈ {4, 8, 12, 16} gösteriminde 4 elemanının {4} şeklinde gösterimi yanlıştır.
Doğrusu 4 ∈ {4, 8, 12, 16} şeklinde olmalıdır
10. Bir kümenin eleman sayısı ile kümenin alt kümelerinin sayısı arasındaki ilişkiyi gösteren bağıntıyı ifade ediniz.
Bir kümenin eleman sayısı eşit n ise o kümenin alt küme sayısı 2n'
11. Kümelerle ilgili beş terimden oluşan bir küme belirleyiniz ve bu kümeyi liste biçiminde yazınız.
Kümemiz A olsun
A = {eleman, tümleyen, birleşim, boş küme, eşit küme}
12. E = {1, 2, 3, … , 10} evrensel kümesinde K = {2, 3, 5, 7}, L = {2, 4, 6, 8}, M = {1, 2, 3, 4, 5} ve N = ∅ kümeleri veriliyor. Buna göre aşağıda istenen kümeleri liste biçiminde yazınız.
a) Kı b) Lı c) Mı ç) Nı
d) K ∩ L e) L ∩ M f) M ∪ N g) K ∪ M

13. Yanda Venn şemasıyla verilen P, R ve S kümeleri için aşağıda istenen kümeleri liste biçiminde yazınız.
a) P ∪ R // P ∪ R = {a,b,c,d,e,f}
b) P ∪ S // P ∪ S = {a,b,c,d,g,h}
c) P ∩ R // P ∩ R = {c,d}
ç) R ∩ S // R ∩ S = {∅}
14. X = {i, l, k, e, r} ve Y = {i, l, k, n, u, r} kümeleri için aşağıda istenen kümeleri bulunuz.
a) X – Y // X – Y = {e}
b) Y – X // Y – X = {n,u}
c) X ∩ Y // X ∩ Y = {i,l,k,r}
ç) X ∪ Y // X ∪ Y = {i,l,k,e,r,n,u}
15. Bir sınıftaki öğrencilerin 20 tanesi futbol veya basketbol oynamaktadır. Bu öğrencilerin 12 tanesi futbol, 4 tanesi de hem futbol hem de basketbol oynadığına göre sınıfta basketbol oynayan kaç öğrenci vardır?

16. İngilizce ve Almanca dillerinden en az birini bilenlerden oluşan 300 kişilik bir grupta 200 kişi İngilizce, 150 kişi de Almanca bilmektedir. Buna göre bu grupta kaç kişi hem İngilizce hem de Almanca bilmektedir?

17. K = {2, 3, 5, 7, 11} kümesinin alt kümelerinden kaç tanesinde 11 bulunmaz?
A) 2 B) 4 C) 8 D) 12 E) 16
Tüm alt kümeleri 11 bulunanlar = 11 bulunmayan alt küme sayısı
25 - 24 = 32 - 16 = 16
Cevap E
18. (4x – y, 4) = (11, x + y) olduğuna göre (2x, 2y) ikilisi aşağıdakilerden hangisidir?
A) (1, 3) B) (2, 6) C) (3, 1) D) (4, 11) E) (6, 2)
(4x – y) = 11
x + y = 4
----------------
5x = 15
x = 3
3 + y = 4
y = 1
(2.3,2.1) = (6,2)
Cevap E
19. A = {1, 2, 3, 4}, B = {2, 3, 5} ve C = {a, b} ise A x C ve B x C kümelerinin kaç tane ortak elemanları vardır?
A) 1 B) 2 C) 3 D) 4 E) 5

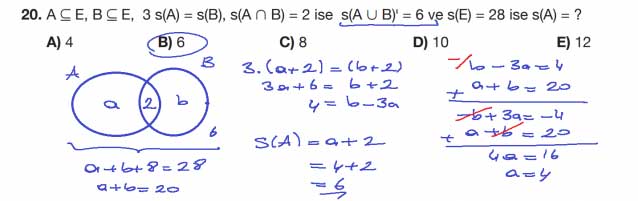
20. A ⊆ E, B ⊆ E, 3 s(A) = s(B), s(A ∩ B) = 2 ise s(A ∪ B)ı = 6 ve s(E) = 28 ise s(A) = ?
A) 4 B) 6 C) 8 D) 10 E) 12

Yorumların her türlü cezai ve hukuki sorumluluğu yazan kişiye aittir. Eğitim Sistem yapılan yorumlardan sorumlu değildir.