8. Sınıf Koza Matematik Sayfa 175 Cevapları
Alıştırmalar ve Problemler
1. Aşağıdaki eşitsizlikleri çözünüz.
a. 3x < 15
b. x/8 > 1
c. – 6x ≤ 24
ç. 4 – x ≥ 3
d. 2x/5 – 1 > 4
e. –x + 1 ≤ 7
f. –4x + 2 /3 > 14
g. 2x – 1 ≥ 5
ğ. 3(x – 1) ≤ 7
2. Aşağıdaki ifadelere uygun eşitsizlikleri yazınız ve çözünüz.
a. Hakan’ın yaşının 8 fazlası 20’den küçüktür.
b. Bilge’nin harçlığının 2 katı 30 TL’ye eşit veya 30 TL’den büyüktür.
c. Cem’in bilyelerinin sayısının 3/4’ü 12’den azdır.
ç. Bir sayının yarısı ile 1/3’ünün toplamı 10’dan büyüktür.
d. Bir ABC eşkenar üçgeninin çevresinin uzunluğu 24 cm’ye eşit veya 24 cm’den küçüktür.
e. Bir sayının – 3 katının 2 fazlası 15’e eşit veya 15’ten büyüktür.
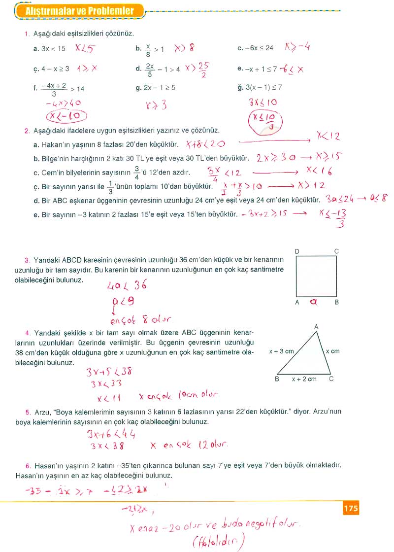
3. Yandaki ABCD karesinin çevresinin uzunluğu 36 cm’den küçük ve bir kenarının uzunluğu bir tam sayıdır. Bu karenin bir kenarının uzunluğunun en çok kaç santimetre olabileceğini bulunuz.
4. Yandaki şekilde x bir tam sayı olmak üzere ABC üçgeninin kenarlarının uzunlukları üzerinde verilmiştir. Bu üçgenin çevresinin uzunluğu 38 cm’den küçük olduğuna göre x uzunluğunun en çok kaç santimetre olabileceğini bulunuz.
5. Arzu, “Boya kalemlerimin sayısının 3 katının 6 fazlasının yarısı 22’den küçüktür.” diyor. Arzu’nun boya kalemlerinin sayısının en çok kaç olabileceğini bulunuz.
6. Hasan’ın yaşının 2 katını –35’ten çıkarınca bulunan sayı 7’ye eşit veya 7’den büyük olmaktadır. Hasan’ın yaşının en az kaç olabileceğini bulunuz.

Yorumların her türlü cezai ve hukuki sorumluluğu yazan kişiye aittir. Eğitim Sistem yapılan yorumlardan sorumlu değildir.