8. Sınıf Koza Matematik Sayfa 169 Cevapları
Yayınlanma:
Güncelleme:
8. Sınıf Koza Yayın Matematik Sayfa 169 Alıştırmalar Soruları ve Cevaplarını yazımızın devamından okuyabilirsiniz.
Alıştırmalar
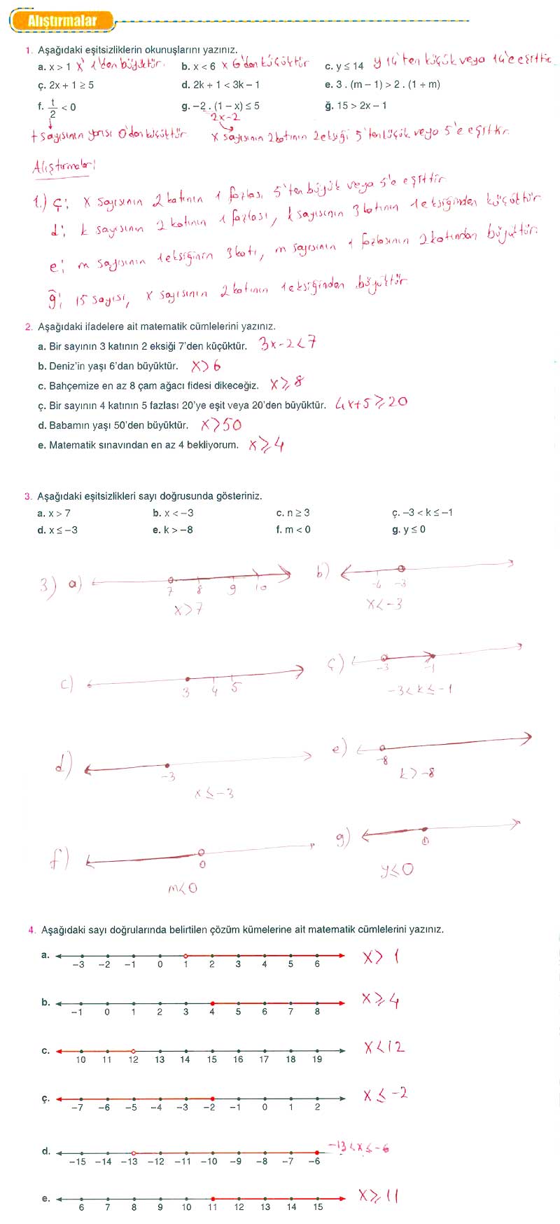
1. Aşağıdaki eşitsizliklerin okunuşlarını yazınız.
a. x > 1
b. x < 6
c. y ≤ 14
ç. 2x + 1 ≥ 5
d. 2k + 1 < 3k – 1
e. 3 . (m – 1) > 2 . (1 + m)
f. t/2 < 0
g. – 2 . (1 – x) ≤ 5
ğ. 15 > 2x – 1
2. Aşağıdaki ifadelere ait matematik cümlelerini yazınız.
a. Bir sayının 3 katının 2 eksiği 7’den küçüktür.
b. Deniz’in yaşı 6’dan büyüktür.
c. Bahçemize en az 8 çam ağacı fidesi dikeceğiz.
ç. Bir sayının 4 katının 5 fazlası 20’ye eşit veya 20’den büyüktür.
d. Babamın yaşı 50’den büyüktür.
e. Matematik sınavından en az 4 bekliyorum.
3. Aşağıdaki eşitsizlikleri sayı doğrusunda gösteriniz.
a. x > 7 b. x < – 3 c. n ≥ 3 ç. –3 < k ≤ –1
d. x ≤ – 3 e. k > – 8 f. m < 0 g. y ≤ 0
4. Aşağıdaki sayı doğrularında belirtilen çözüm kümelerine ait matematik cümlelerini yazınız.

SORU & CEVAP
Yorumların her türlü cezai ve hukuki sorumluluğu yazan kişiye aittir. Eğitim Sistem yapılan yorumlardan sorumlu değildir.