8. Sınıf Koza Matematik Sayfa 136-138 Cevapları
Alıştırmalar ve Problemler
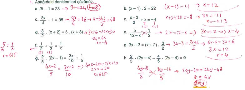
1. Aşağıdaki denklemleri çözünüz.
a. 3t – 1 = 23
b. (x – 1) . 2 = 22
c. 3x/4 – 1 = 35
ç. x + 3 / 2 + x = –4
d. 3 / 2 . (x + 2) = 5 . (x + 3)
e. x / 12 – x = 1/2
f. 1/2 + 1/3 = 1/x
g. 3x – 3 = (x + 2) . 3/2
ğ. 2/5 . (2x – 1) = 3x/10 + 1/5
h. 2/3 . (2y – 4) – 4/5. (2y – 4) = 0

2. Aşağıdaki problemleri denklem kurarak çözünüz.
a. Can ile ablasının yaşları toplamı 21’dir. Can’ın yaşı, ablasının yaşının yarısından 3 yaş fazladır. Can ile ablasının yaşlarını bulunuz.
b. 48 cevizi, Hasan’ın 5 cevizine karşılık Özlem 3 ceviz alacak şekilde paylaşıyorlar. Özlem’in kaç tane ceviz aldığını bulunuz.
c. Bir kırtasiyeci aldığı kurşun kalemlerin tanesini 1 TL’den satarsa 15 TL zarar, 2 TL’den satarsa 15 TL kâr edecektir. Kırtasiyecinin kaç tane kurşun kalem aldığını bulunuz.

ç. Birinin saatteki ortalama hızı 70 km, diğerinin saatteki ortalama hızı 80 km olan iki otomobil aynı anda zıt yönlere hareket ediyorlar. Kaç saat sonra iki otomobilin aralarındaki uzaklık 600 km olur?
d. Bir bakkal, dükkânında bulunan paket tereyağlarının önce 3/8’ini, sonra kalan yağların 1/5’ini satınca geriye 32 paket tereyağı kalmıştır. Bakkalda satıştan önce kaç paket tereyağı olduğunu bulunuz.
e. Aylin’in parası Sezgi’nin parasının 4 katına eşittir. Aylin, Sezgi’ye 45 TL verirse paraları eşit oluyor. Aylin ve Sezgi’nin kaçar Türk lirası vardır?
f. Bir sınıftaki öğrenciler sıralara ikişerli oturunca 4 öğrenci ayakta kalırken, üçerli oturunca 2 sıra boş kalıyor. Sınıftaki sıra ve öğrenci sayısını bulunuz.
g. Bir bahçedeki portakal ve mandalina ağaçlarının toplam sayısı 80’dir. Bu bahçedeki portakal ağaçlarının sayısının 1/6’i, mandalina ağaçlarının sayısının 1/4’ine eşittir.
Bahçedeki portakal ve mandalina ağaçlarının sayılarını bulunuz.

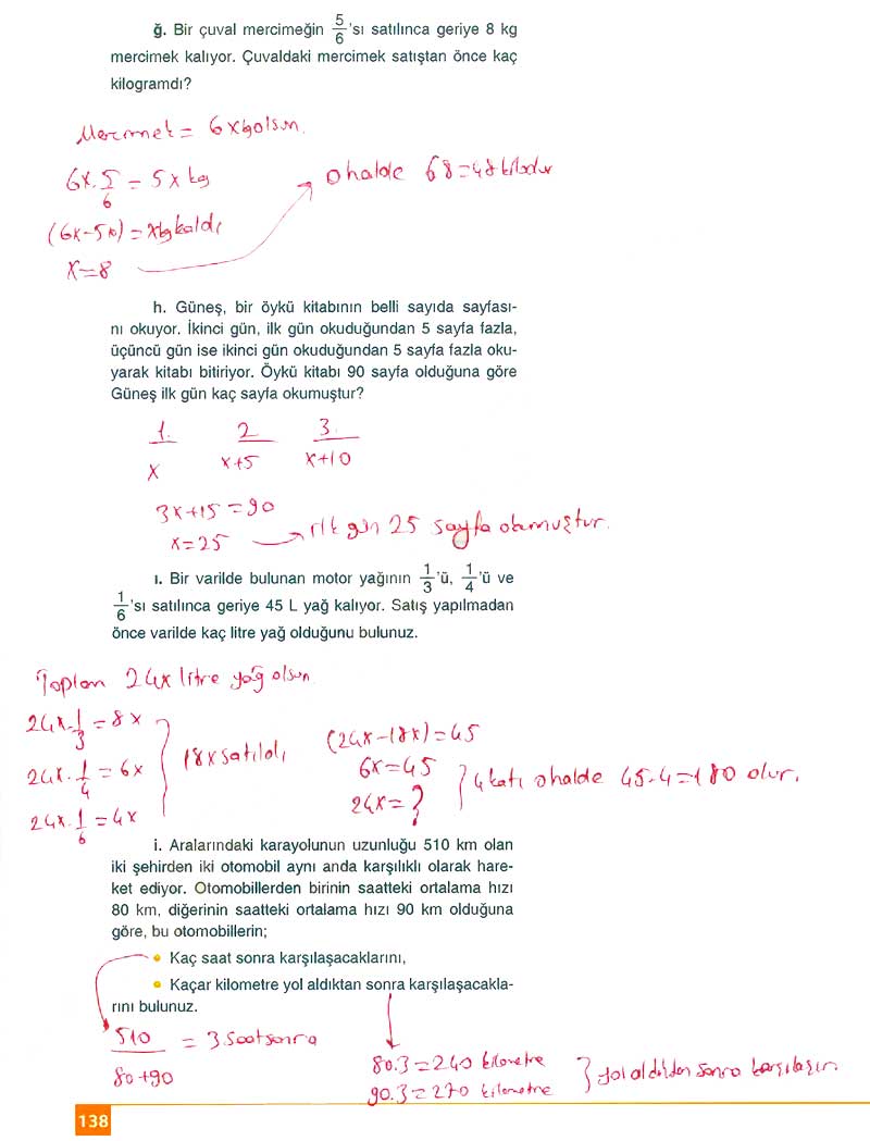
ğ. Bir çuval mercimeğin 5/6’sı satılınca geriye 8 kg mercimek kalıyor. Çuvaldaki mercimek satıştan önce kaç kilogramdı?
h. Güneş, bir öykü kitabının belli sayıda sayfasını okuyor. İkinci gün, ilk gün okuduğundan 5 sayfa fazla, üçüncü gün ise ikinci gün okuduğundan 5 sayfa fazla okuyarak kitabı bitiriyor. Öykü kitabı 90 sayfa olduğuna göre Güneş ilk gün kaç sayfa okumuştur?
ı. Bir varilde bulunan motor yağının 1/3’ü, 1/4’ü ve 1/6’sı satılınca geriye 45 L yağ kalıyor. Satış yapılmadan önce varilde kaç litre yağ olduğunu bulunuz.
i. Aralarındaki karayolunun uzunluğu 510 km olan iki şehirden iki otomobil aynı anda karşılıklı olarak hareket ediyor. Otomobillerden birinin saatteki ortalama hızı 80 km, diğerinin saatteki ortalama hızı 90 km olduğuna göre, bu otomobillerin;
Kaç saat sonra karşılaşacaklarını,
Kaçar kilometre yol aldıktan sonra karşılaşacaklarını bulunuz.

Yorumların her türlü cezai ve hukuki sorumluluğu yazan kişiye aittir. Eğitim Sistem yapılan yorumlardan sorumlu değildir.