6. Sınıf Engürü Matematik Sayfa 76-77 Cevapları
SIRA SİZDE
1. Fatih maaşının 1/4’ini ev kirası, 1/10’ini faturalar için ayırmıştır. Fatih’in ayırdığı paranın maaşının ne kadarı olduğunu bulunuz.
Cevap: 1/4 . 5 + 1/10 . 2 = 5/20 + 2/20 = 7/20
2. Aşağıdaki işlemlerin sonuçlarını bulunuz.
a. 3/5 + 7/15 = 16/15
b. 1/6 + 5/4 + 3/8 = 43/24
c. 1. 2/7 + 3. 1/21 = 91/21
ç. 1. 3/10 + 7/20 + 9/5 = 69/20
d. 1/2 + 5 + 1. 3/4 = 29/4
e. 2. 3/5 + 4. 1/3 = 104/15

3. Elif 4/5 kilogram peynir, 11/20 kilogram zeytin almıştır. Elif’in aldığı peynir miktarının, zeytin miktarından ne kadar fazla olduğunu bulunuz.
4/5 . 4 = 16/20
16/20 – 11/20 = 5/20 = 1/4 daha fazladır

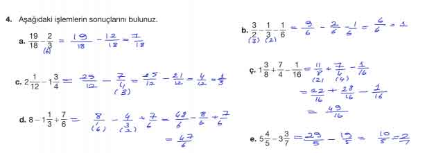
4. Aşağıdaki işlemlerin sonuçlarını bulunuz.
a. 19/18 – 2/3
2/3 . 6 = 12/18
19/18 – 12/18 = 7/18
b. 3/2 – 1/3 – 1/6
9/6 – 2/6 – 1/6 = 6/6 = 1
c. 2. 1/12 – 1. 3/4
24/12 – 7/4 .3 = 24/12 – 21/12 = 3/12
ç. 1. 3/8 + 7/4 – 1/16
11/8 . 2 + 7/4 . 4 – 1/16 = 22/16 + 28/16 – 1/16 = 49/16
d. 8 – 1. 1/3 + 7/6
8/1 . 6 – 4/3 . 2 + 7/6 = 48/6 – 8/6 + 7/6 = 47/6
e. 5. 4/5 – 3. 3/7
29/5 . 7 – 24/7 . 5 = 203/35 – 120/35 = 83/35

5. 52 kilogram kütleli bir kişinin 2 tam 1/2 kilogram zayıfladığında kaç kilogram olacağını bulunuz.
2. 1/2 = 5/2
52 / 5 = 1,4
1,4+1,4 = 2,80 kg.
52- 2,80 = 49,20 kg. olur.

6. Kemal hafta sonunda bütün ödevlerini bitirmiştir. Cumartesi günü ödevinin 7/15’sini yapan Kemal’in pazar günü ödevinin kaçta kaçını yaptığını bulunuz.
Cevap: 15/15 – 7/15 = 8/15 ini yapmıştır
7. Aşağıdakilerden 2 tam 1/8 kesri ile toplandığında sonucu bir doğal sayıya eşit olan kesirleri belirleyiniz.
Belirlediğiniz kesirlerin başlarındaki kutucuğa “” işareti koyunuz.
1/8 = X
14/16 = √
1. 7/8 = √
2. 1/8 = X
3. 1/2 = X

8. Aşağıdakilerden 4 tam 5/6 kesrinden çıkarıldığında sonucu bir doğal sayıya eşit olan kesirleri belirleyiniz.
Belirlediğiniz kesirlerin başlarındaki kutucuğa “” işareti koyunuz.
5/6 = √
1. 1/6 = X
15/18 = √
2. 3/4 = X
11/6 = √

9. Yandaki şekilde kenar uzunlukları verilen ABC üçgeninin çevre
uzunluğunun kaç santimetre olduğunu bulunuz.
3. 1/3 + 5. 7/12 + 4. 5/6
10/3 + 67/12+ 29/6 = 165/12 cm.

10. Dikdörtgen şeklindeki bir bahçenin uzun kenarı 32 tam 1/4 metre, kısa kenarı 27 tam 1/2 metredir. Bu bahçenin çevre uzunluğunun kaç metre olduğunu tahmin ediniz. Tahmininizi gerçek sonuçla karşılaştırınız.
Tahminim: 230/4
Sonuç: 129/4 + 129/4 + 55/2 + 55/2 = 119 +1/2 cm.

11. Gizem aldığı iki farklı kumaş için 68 tam 1/4 lira ve 54 tam 1/2 lira ödemiştir. Gizem’in kumaşlardan biri için kaç lira fazla ödeme yaptığını tahmin ediniz. Tahmininizi gerçek sonuçla karşılaştırınız.
1. kumaş: 273/4
2. kumaş: 109/2
273/4 – 109/2 . 2 = 273/4 – 218/4 = 55/4 = 13 + 3/4 TL

Yorumların her türlü cezai ve hukuki sorumluluğu yazan kişiye aittir. Eğitim Sistem yapılan yorumlardan sorumlu değildir.