9. Sınıf Eksen Matematik Sayfa 204-205 Cevapları
ALIŞTIRMALAR
1. Bir yarışmada sorulan soruların bazılarının doğru cevabı 4 puan, bazılarının doğru cevabı 6 puandır.
Yarışmadaki 12 sorunun hepsine doğru cevap veren yarışmacı 54 puan kazandığına göre 6 puanlık kaç soruya doğru cevap vermiştir?
2. Bir kasadaki limonların öncesi, sonra kalan limonların yarısı satılmıştır. Geriye 10 limon kaldığına göre başlangıçta kasada kaç limon vardı?

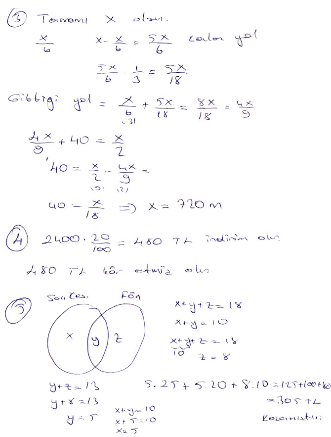
3. Bir bisikletli bir yolun önce — ini, sonra kalan yolun — ini gidiyor. 40 m daha gittiğinde yolun yarısına geliyor. Yolun uzunluğu kaç metredir?
4. Taksitli fiyatı 2400 TL olan bir koltuk takımı peşin alındığında taksitli fiyat üzerinden %20 indirim uygulanacaktır. Peşin ödeme yaparak bu koltuk takımını alan bir kişi kaç lira kâr etmiştir?
5. Bir kuaförde saç kestirme 20 TL, fön çektirme 10 TL, saç kestirme ve fön çektirme 25 TL dir. Bir gün içinde kuaföre toplam 18 müşteri gelmiştir. Saç kestiren müşteri sayısı 10, fön çektiren müşteri sayısı 13 olduğuna göre bu kuaförün o günkü kazancı kaç liradır?

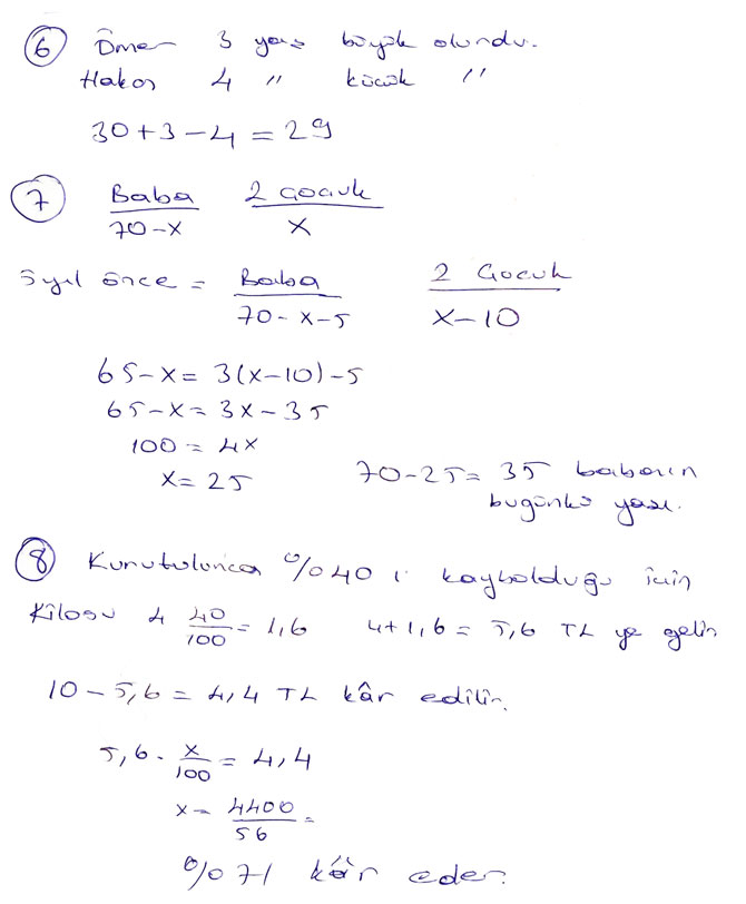
6. Ömer ve Hakan’ın bugünkü yaşları toplam 30 dur. Ömer 3 yıl önce, Hakan 4 yıl sonra doğmuş olsaydı bugünkü yaşları toplamı kaç olurdu?
7. Bir baba ile iki çocuğunun yaşları toplamı 70 tir. 5 yıl önce babanın yaşı çocuklarının yaşları toplamının 3 katından 5 eksikti. Buna göre babanın şimdiki yaşı kaçtır?
8. Kilogramı 4 liradan alınan bir kayısı kurutulunca ağırlığının %40 mı kaybediyor. Kuru kayısının kilogramı 10 liradan satılırsa yüzde kaç kâr edilir?

9. Bir satıcı elindeki bardakların %60 mı %30 kârla satıyor. Geriye kalan bardakların yarısı kırılıyor. Satıcı zarar etmemek için kalan bardakları en az yüzde kaç kâr ile satmalıdır?

10. Aynı nitelikteki 6 işçi birlikte çalışmaya başlıyorlar. Her gün bir işçi ayrılıyor ve işin tamamı 4 günde bitiyor.
Buna göre bir işçi tek başına işin tamamını kaç günde bitirebilir?
11. Boyları eşit iki mumdan biri 8 saatte, diğeri 6 saatte tamamen eriyor. Aynı anda yakıldıktan kaç saat sonra mumların boylarının oranı — olur?
12. Sabit hızla aynı yöne hareket eden iki hareketlinin aldıkları yolun zamana göre değişimini gösteren doğrusal grafik yanda verilmiştir. Buna göre I. hareketli II. hareketliye kaç saniye sonra yetişir?

13. Erkan bisikletiyle belli bir yolu 6 km/sa. hızla gitmiş ve 12 km/sa. hızla geri dönmüştür. Erkan’ın gidiş dönüşteki ortalama hızı kaç m/sn. dir?
14. Turhan bir işin ini yaptıktan sonra 8 gün daha çalışarak işin yarısını bitiriyor.Turhan işin tamamını bitirmek için kaç gün daha çalışmalıdır?
15. Tuz oranı %10 olan 20 litre tuzlu suya kaç litre su eklenirse karışımın tuz oranı %8 olur?
16. Reyhan Hanım, şapka örüp satarak aile ekonomisine katkıda bulunmak istiyor. Şapka modelleri için 30 TL ye bir dergi alıyor. Öreceği bir şapka için malzeme giderinin 5 TL olacağını hesaplayıp satış fiyatını 20 TL olarak belirliyor.
Bu şapkaların satışından en az 270 TL kâr etmek isteyen Reyhan Hanım en az kaç şapka satmalıdır?

17. Bir kakaolu sütün içindeki süt ve kakao miktarlarının oranını gösteren doğrusal grafik yanda verilmiştir. Bu kakaolu sütün 160 gramının içine 40 gram kakao ekleniyor. Yeni karışımın kakao oranı yüzde kaç olur?

Yorumların her türlü cezai ve hukuki sorumluluğu yazan kişiye aittir. Eğitim Sistem yapılan yorumlardan sorumlu değildir.