9. Sınıf Eksen Matematik Sayfa 178 Cevapları
ALIŞTIRMALAR
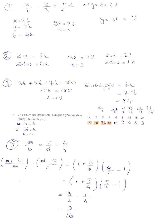
1. ve x + y + z = 27 ise y kaçtır?
2. 39 kişilik bir sınıfta kız öğrencilerin sayısı 7, erkek öğrencilerin sayısı 6 ile orantılıdır. Kız ve erkek öğrencilerin sayısını bulunuz.
3. Bir üçgenin iç açılarının ölçüleri 3, 5, 7 ile orantılıdır. Bu üçgenin en büyük dış açısının ölçüsünü bulunuz.
4. a ve b sayıları ters orantılı olduğuna göre yandaki tabloyu tamamlayınız.
5. olduğuna göre kaçtır?

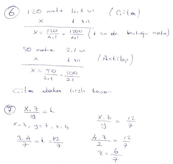
6. Bir çita 120 metreyi 4,1 saniyede, bir antilop 50 metreyi 2,1 saniyede koşabilmektedir. Hangisinin daha hızlı olduğunu bulunuz.
7. x sayısı y ile doğru, z ile ters orantılıdır. x = 3, y = 7 iken z = 4 olduğuna göre x = 4, y = 2 iken z kaçtır?

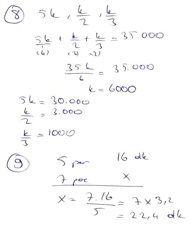
8. 35 000 m arsası bulunan Cenk Bey arsasını satmak istiyor. Bu arsayı 5 ile doğru, 2 ve 3 ile ters orantılı olacak şekilde 3 parçaya ayırıyor. Her bir parçanın kaç metrekare olduğunu bulunuz.
9. Mehmet Usta, bir kalası 5 parçaya 16 dakikada bölebiliyorsa aynı kalası Mehmet Usta’nın 7 parçaya kaç dakikada bölebileceğini bulunuz.

Yorumların her türlü cezai ve hukuki sorumluluğu yazan kişiye aittir. Eğitim Sistem yapılan yorumlardan sorumlu değildir.