8. Sınıf Kök-e Matematik Sayfa 202-205 Cevapları
4. Ünite Değerlendirme Soruları ve Cevapları
1. Aşağıdaki doğru denklemleriyle doğruların eğimlerini eşleştiriniz.

2. Aşağıda verilen doğrulardan hangisinin eğimi diğerlerinden farklıdır?
Cevap : A
3. Yukarıdaki dağın eğimi aşağıdakilerden hangisidir?
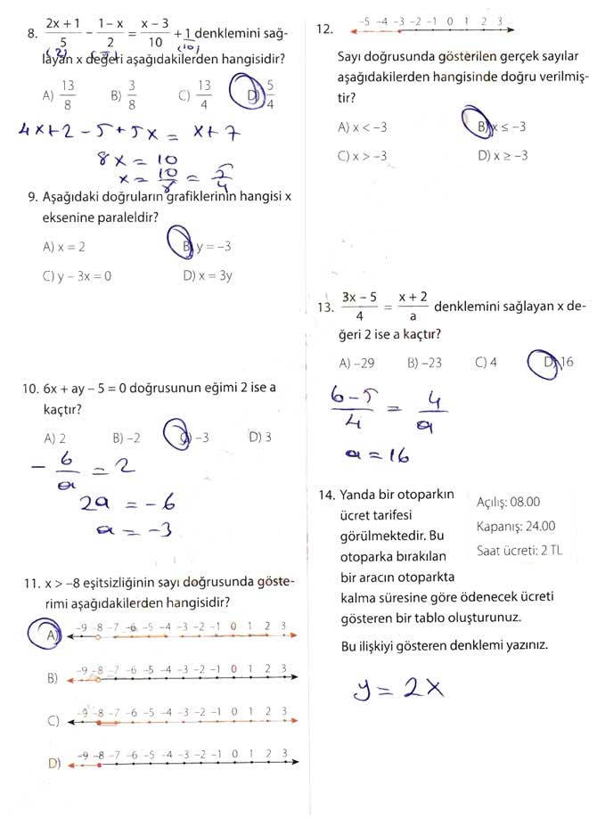
4. denklemini sağlayan x değeri aşağıdakilerden hangisidir?
Cevap : B
5. 3x – 4y = 12 doğru denkleminin grafiğinin, eksenleri kestiği noktalar aşağıdakilerden hangisinde doğru verilmiştir?
Cevap : C
6. Ayşe, burs verdiği üniversite öğrencisine doğum günüde hediye alacaktır. Bunun için 200 TL olan parasına her ay 50 TL eklemektedir. Ay sayısına x, biriken paraya y dersek, ay ve biriken para arasındaki ilişki aşağıdakilerden hangisidir?
Cevap : B
7. Aşağıdaki doğru denklemlerinin hangisinin grafiği orijinden geçer?
Cevap : A
8. denklemini sağlayan x değeri aşağıdakilerden hangisidir?
9. Aşağıdaki doğruların grafiklerinin hangisi x eksenine paraleldir?
10.6x + ay – 5 = 0 doğrusunun eğimi 2 ise a kaçtır?
11. x > -8 eşitsizliğinin sayı doğrusunda gösterimi aşağıdakilerden hangisidir?
12. Sayı doğrusunda gösterilen gerçek sayılar aşağıdakilerden hangisinde doğru verilmiştir?
13. denklemini sağlayan x değeri 2 ise a kaçtır?
14. Yanda bir otoparkın ücret tarifesi görülmektedir. Bu otoparka bırakılan bir aracın otoparkta kalma süresine göre ödenecek ücreti gösteren bir tablo oluşturunuz.
Bu ilişkiyi gösteren denklemi yazınız.
Saat ücreti 2 TL verildiği için y= 2x olur

15. Yukarıda grafiği verilen doğrunun eğimi aşağıdakilerden hangisidir?
16. Aşağıda verilen tam sayılardan hangisi -2x + 3 > 5 eşitsizliğini sağlayan tam sayılardan biridir?
17. 2 – 4x < 3x – 12 eşitsizliğini sağlayan x değerleri aşağıdakilerden hangisidir?
18. “Bir sayının iki katının 3 eksiği, o sayının 5 katından büyüktür.”cümlesinin cebirsel ifadesi aşağıdakilerden hangisidir?
19. 3(x – 5) < -6 eşitsizliğini sağlayan x değerleri aşağıdakilerden hangisidir?
20. d, doğrusunun eğimi m, d2 doğrusunun eğimi m2 d3 doğrusunun eğimi m3 olmak üzere doğruların eğimlerini bulunuz.
21. denklemini sağlayan x değeri aşağıdakilerden hangisidir?
22. denklemini sağlayan tam sayı aşağıdakilerden hangisidir?
23. 2x – 5 > 7 eşitsizliğini aşağıdakilerden hangisi sağlamaz?
24. (m + 1) x – 8 = O denklemini sağlayan x değeri 4 ise m kaçtır?
25. 4x – 2y + 3 = O eşitliğindeki değişkenler birbirleri cinsinden yazılmıştır. Bunlar doğru ise kutucuklara “D”, yanlış ise “Y” yazınız
26. 3(x – 7) + 5(x – 3) = 6x + 4 denklemini sağlayan sayı aşağıdakilerden hangisidir?
27. eşitsizliğini sağlayan doğal sayılar kaç tanedir?
28. Aşağıdaki doğru denkleminden hangisinin eğimi diğerlerinden farklıdır?
29. y = mx – 5 doğrusunun B(2,3) noktasından geçmesi için eğim ne olmalıdır?
30. doğrusal denkleminde x’in y cinsinden yazılışı aşağıdakilerden hangisidir?



Yorumların her türlü cezai ve hukuki sorumluluğu yazan kişiye aittir. Eğitim Sistem yapılan yorumlardan sorumlu değildir.