7. Sınıf Ekoyay Matematik Sayfa 113 Cevapları
ALIŞTIRMALAR
1. Aşağıdaki denklemlerde x’lerin değerlerini bulunuz.
a. x – 12 = 3 --> x = 12 + 3 --> x = 15
b. 4x – 7 = 3x + 9 --> 4x - 34 = 9 + 7 --> x = 16
c. 3(x + 2) + 2x = x – 14 --> 3x + 6 + 2x = x - 14 --> 5x + 6 = x - 14 --> 4x = -20 --> x = -5
ç. 3x + 2(x – 4) = 4(x + 6) + 3 --> 3x + 2x - 8 = 4x + 24 + 3 --> 5x - 4x = 35 --> x = 35
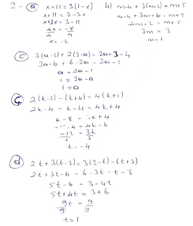
2. Aşağıdaki denklemlerde bilinmeyenleri bulunuz.
a. x + 11 = 3(1 – x)
b. m – 4 + 3(m + 2) = m + 5
c. 3(a – 2) + 2(3 – a) = (2a + 3) – 4
ç. 2(k – 2) – (k + 4) = 4(k + 1)
d. 2t + 3 (t – 2) = 3(2 – t) – (t + 3)

3. Yandaki şekilde verilen dikdörtgenin uzun kenarının uzunluğu, kısa kenarının uzunluğunun 3 katının 8 eksiğidir. Çevresi 80 cm olan bu dikdörtgenin kısa kenarının uzunluğunu bulunuz.
2x + 2 . (3x - 8) = 80
2x + 6x - 16 = 80
8x = 80 + 16
8x = 96
x = 96 / 8
x = 12
4. Yandaki terazinin dengede durabilmesi için kütlesinin değerini bulunuz (◯ = 3 kg’dır.).
= x alalım
sol kefede 3 . 12 = 36 kg vardır
36 = 3x + 3 . 3
36 - 9 = 3x
27 = 3x
x = 27/3
x = 9
= 9 kg
5. Yandaki terazinin dengede olabilmesi için kütlesinin değerini bulunuz ( cisimleri özdeştir.).
= x olsun
12 = 2x + 8
12 - 8 = 2x
2x = 4
x = 2
= 2
Yorumların her türlü cezai ve hukuki sorumluluğu yazan kişiye aittir. Eğitim Sistem yapılan yorumlardan sorumlu değildir.