9. Sınıf Pasifik Matematik Sayfa 37, 38, 39 Cevapları
ALIŞTIRMALAR
1. Aşağıdaki ifadelerin önerme olup olmadığını belirtiniz.
a) 1 + 2 --> Önermedir
b) 8 + 7 < 3 --> Önerme olup yanlış bir önermedir
c) Bu kapıyı açsana --> Önerme değildir
ç) Otur --> Emir cümleleri önerme belirtmez
d) Matematik en kolay derstir. --> Önerme değildir
2. Aşağıdaki önermelerin doğruluk değerini bulunuz.
a) p : “1 saat 50 dakikadır.” --> 1 saat 60 dakika olup p ≡ 0 olur.
b) q : “0 gerçek sayıdır.” --> q gerçek sayıdır q ≡ 1
c) r : “2 + 7 = 10” --> 2 + 7 = 9 olup 2 + 7 ≠ 10 r ≡ 0
ç) s : ” 3 + 7 > 5” --> 3 + 7 > 5 --> 10 > 5 olup s ≡ 1
3. 64 satırlık doğruluk değeri bulunan kaç farklı önerme vardır?
2n = 64 doğruluk değerini sayınız
2n = 64
2n = 26
n = 6 önerme
4. Aşağıdaki önermelerden denk olanları belirtiniz.
p : “25 > 20” --> 32 > 20 p ≡ 1'dir
q : “-34 = 81” --> -81 ≠ 81 q ≡ 0
r : “Üçgenin dış açılarının ölçüleri toplamı 360° dir.” --> r ≡ 1
s : ” 3 + 7 = 11” --> 10 ≠ 11 s ≡ 0
9. Sınıf Pasifik Matematik Cevapları
5. Aşağıdaki önermelerin olumsuzlarını bulunuz.
a) 8 bir asal sayıdır. --> 8 bir asal sayı değildir.
b) Türkiye’nin başkenti Ankara’dır. --> Türkiye'nin başkenti Ankara değildir
c) 23 + 33 ≥ 73 --> 23 + 33 < 73
ç) 89! = 89 . 88! --> 89! ≠ 89 . 88!
6. p : “2 çift asal sayıdır.”
q : “En küçük doğal sayı 3 tür.”
r : “ 18 > 3 ”
önermelerine göre aşağıdakilerin doğruluk değerini bulunuz.
7. Aşağıdaki bileşik önermelerin doğruluk değerini bulunuz.
8. Aşağıdaki denklikleri doğruluk tablosu ile gösteriniz.

9. 6(ql 0 pl) 0 (ql 0 p)l@l önermesinin en sade biçimini yazınız.
10. pl / (p 0 ql)l / 1 olduğuna göre p ve q önermelerinin doğruluk değerlerini bulunuz.
11. pl / (p Q ql) bileşik önermesini en sade biçimde yazınız.
12. (pl Q q) / r / 1 olduğuna göre pl / q önermesinin doğruluk değerini bulunuz.

13. p : “∃x ∈ R, 2x − 3 = 0
q : “3 + 7 = 11”
r : “-3 + 5 > -2”
önermelerine göre aşağıdaki önermelerin doğruluk değerini bulunuz.
14. “Ali okulda ise Ali hasta değildir.” önermesinin karşıtını, tersini, karşıt tersini yazınız.
15. p / 0, q / 1, r / 0 olmak üzere aşağıdaki önermelerin doğruluk değerini bulunuz.
16. p & q / 0 olduğuna göre (pl 0 q) & (p 0 q) önermesinin doğruluk değerini bulunuz.

17. (p & ql) & 6(pl 0 q) / p@ / p / q olduğunu tablo yapmadan gösteriniz.
18. p / 0, q / 1, r / 0 olmak üzere, (p & q)l + (p + r) önermesinin doğruluk değerini bulunuz.
19. (p + 0) 0 (p + pl) önermesinin en sade hâlini bulunuz.

20. Aşağıdaki önermelerin doğruluk değerini bulunuz.
21. x R, x 4 x R , x > 0 2 4 7 ! = 0 6 ! 7 A 7 + A önermesinin olumsuzunu (değilini) bulunuz.
22. “Herhangi iki tek tam sayının çarpımı tek tam sayıdır.” önermesinin hipotez ve hükmünü yazınız.

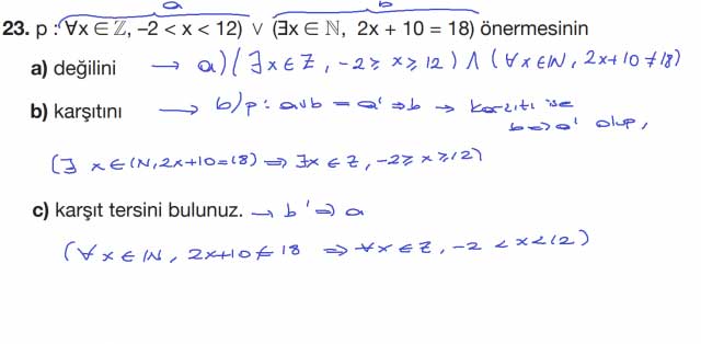
23. önermesinin
a) değilini
b) karşıtını
c) karşıt tersini bulunuz.

Yorumların her türlü cezai ve hukuki sorumluluğu yazan kişiye aittir. Eğitim Sistem yapılan yorumlardan sorumlu değildir.