9. Sınıf Eksen Matematik Sayfa 83 Cevapları
ALIŞTIRMALAR
1. s(A ◠ B1) = 6, s(A ◠ B) = 4, s(A ◡ B) = 15 olduğuna göre s(B – A) kaçtır?
s(B – A) = 5
2. Yanda verilen Venn şemasında [(A ◠ B) ◡ (B ◠ O] - (A ◠ B ◠ C) kümesini boyayarak gösteriniz.

3. s(A) = 8, s(B) = 4 olduğuna göre s(A ◡ B) nin alabileceği en büyük değer kaçtır?
4. s(A) = s(B) = s(C) = 10, s(A ◠ B) = s(A ◠ C) = s(B ◠ C) = 2 s(A ◠ B ◠ C) ve s(A ◡ B ◡ C) = 20 olduğuna göre s(A ◠ B ◠ C) kaçtır?
s(A ◡ B ◡ C) = s(A) + s(B) + s(C) - s(A◠B) - s(A◠C) - s(B◠C) + s(A◠B◠C)
20 = 10 + 10 + 10 - 2. s(A◠B◠C) - 2. s(A◠B◠C) - 2. s(A◠B◠C) + s(A◠B◠C)
20 = 30 - 5 . s(A◠B◠C)
20 - 30 = -5 . s(A◠B◠C)
-10 = -5 . s(A◠B◠C)
s(A◠B◠C) = 2
5. A ve B, E evrensel kümesinin iki alt kümesi olmak üzere (A' ◡ B)’ ◡ (A ◠ B) ifadesinin en sade şeklini yazınız.
≡ (A' ◡ B)’ ◡ (A ◠ B)
≡ (A ◡ B') ◡ (A ◠ B)
≡ A ◠ (B' ◡ B)
≡ A ◠ B
≡ A
6. [A’ ◡ [(A ◡ B)’ ◡ B] işleminin sembolik mantık kurallarını kullanarak en sade şekilde yazınız.
A ≡ p
B ≡ q
◡ ≡ V
◠ ≡ Λ
A’ ◡ [(A ◡ B)’ ◡ B]
≡ p' V [(p V q') V q
≡ p' V [(p' Λ q') V q)
≡ p' V [(p' V q) Λ (q' V q)]
≡ p' V (p' V q)
≡ (p' V p) V q
≡ p' V q
≡ A' V B
7. 38 kişilik bir sınıfta matematik kursuna gitmeyen 16 kişi, fizik kursuna gitmeyen 24 kişi ve her iki kursa giden 8 kişi vardır. Buna göre iki kursa da gitmeyen kaç kişi vardır?

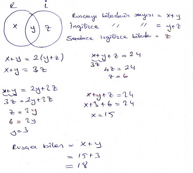
8. Bir seyahat acentasında çalışanlar Rusça ve İngilizceden en az birini bilmektedir. Rusçayı bilenlerin sayısı İngilizceyi bilenlerin sayısının 2 katı, sadece İngilizceyi bilenlerin sayısının 3 katıdır. Acentada 24 kişi çalıştığına göre Rusçayı bilen kaç kişi vardır?

9. Dans veya tiyatro kursundan en az birine gidenlerden oluşan bir gruptaki kişilerin %54 ü dans kursuna, %58 i tiyatro kursuna gitmektedir. Bu grupta her iki kursa giden 24 kişi olduğuna göre gruptaki kişi sayısı kaçtır?

10. 41 kişilik bir sınıftaki sarışın erkeklerin sayısı esmer erkeklerin sayısının yarısı, sarışın kızların sayısının 2 katıdır. Bu sınıftaki esmer kız sayısı 6 olduğuna göre sarışın kişi sayısı kaçtır?
| Sarışın | Esmer | |
|---|---|---|
| Kız | x | 6 |
| Erkek | 2x | 4x |
4x + 2x + x +6 = 41
7x = 35
x = 5
Sarışın kişi sayısı
3x = 3 . 5 = 15
Kaynak:Eğitim Sistem
Yorumların her türlü cezai ve hukuki sorumluluğu yazan kişiye aittir. Eğitim Sistem yapılan yorumlardan sorumlu değildir.