9. Sınıf Eksen Matematik Sayfa 208-209 Cevapları
DEĞERLENDİRME SORULARI 2
1. Aşağıdaki kümelerden hangisinin elemanları irrasyonel sayıdır?

2. …..denkleminin çözüm kümesi {-1} olduğuna göre a kaçtır?

3. ………..eşitsizliğinin gerçek sayılar kümesindeki çözüm aralığı aşağıdakilerden hangisidir?

4. …….denklem sisteminin çözüm kümesi aşağıda- kilerden hangisidir?

5. ……eşitsizliğinin gerçek sayılar kümesindeki çözüm kümesi aşağıdakilerden hangisidir?

6. Aşağıda verilen eşitsizlik sistemlerinden hangisinin çözümü boş kümedir?

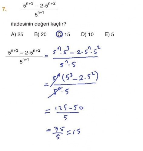
7. ………ifadesinin değeri kaçtır?

8. ……….denkleminin gerçek sayılar kümesindeki çözüm kümesi aşağıdakilerden hangisidir?

9. Dört basamaklı 5a4b sayısının 3 ile bölümünden kalan 1 ve 4 ile bölümünden kalan 2 dir. Buna göre kaç farklı sıralı İkilisi vardır?
10.452 sayısından hangi sayı çıkarılırsa elde edilen sayı 15, 25 ve 18 ile kalansız bölünür?

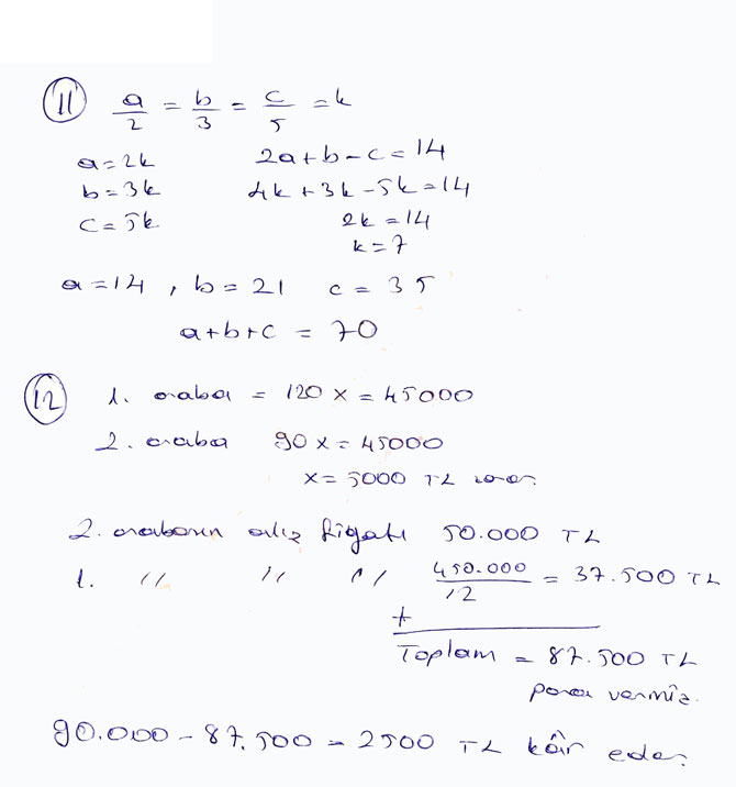
11. ….olduğuna göre a + b + c kaçtır?
12. Bir galerici elindeki arabalardan birini %20 kârla, diğerini %10 zararla 45 000 er liraya satıyor.
Galericinin kâr-zarar durumu için aşağıdaki- lerden hangisi doğrudur?

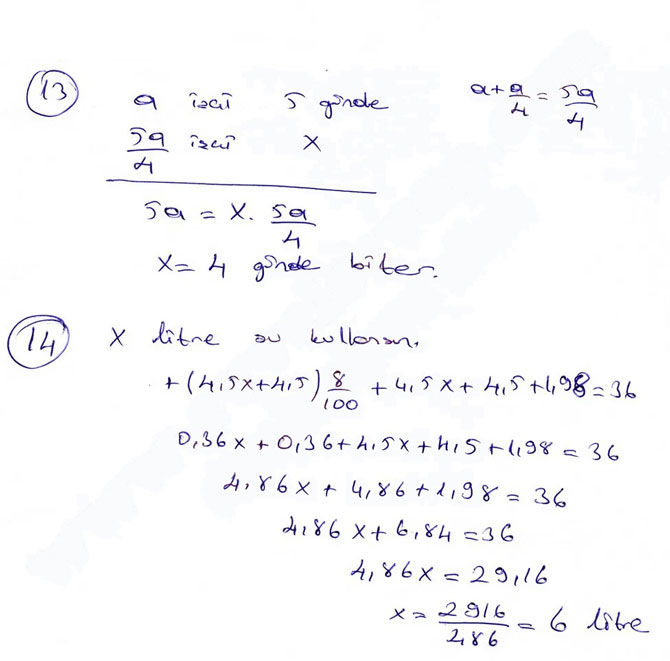
13. Bir grup işçi bir işi 5 günde bitirebilmektedir. İşçi sayısı %25 artırılırsa aynı iş kaç günde biter?
14. Bir ilde aylık su tüketim faturası hesaplanırken aşağıdakiler faturaya yansıyor.
❖ Suyun birim fiyatı 4,5 TL dir.
❖ 1 m3 su fiyatına eşit olan bakım bedeli alınmaktadır.
❖ Su bedeli ile bakım bedeli toplamının %8 i oranında KDV alınmaktadır.
❖ 1,98 TL çevre tüketim vergisi alınmaktadır. Buna göre aylık faturası 36 TL olan bir aile kaç metreküp su tüketmiştir?

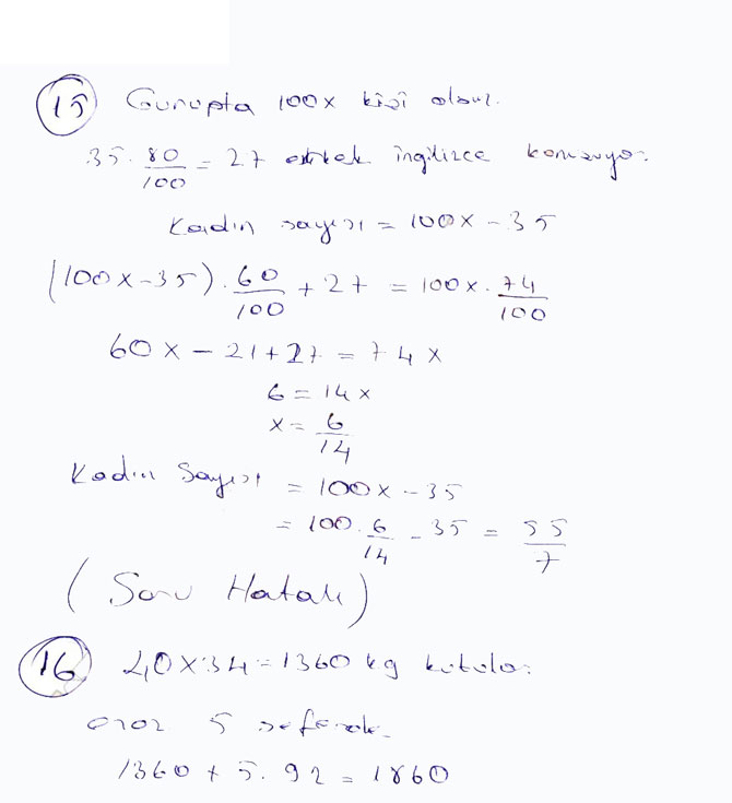
15. Bir gruptaki 35 erkeğin %80 i, kadınların %60 ı İngilizce konuşabilmektedir.
Bu grubun %74 ü İngilizce konuşabildiğine göre gruptaki kadın sayısı kaçtır?
16. Serkan kütleleri 34 kg olan 40 tane kutuyu asansörle üst kata çıkaracaktır.
Asansörün yük taşıma kapasitesi 400 kg ve Serkan’ın kütlesi 92 kg olduğuna göre Serkan en az kaç seferde kutuları üst kata taşır?

Kaynak:Eğitim Sistem
Yorumların her türlü cezai ve hukuki sorumluluğu yazan kişiye aittir. Eğitim Sistem yapılan yorumlardan sorumlu değildir.