7. Sınıf Ekoyay Matematik Sayfa 80 Cevapları
Yayınlanma:
Güncelleme:
7. Sınıf Ekoyay Yayıncılık Matematik Sayfa 80 Alıştırmalar Cevaplarını yazımızın devamından okuyabilirsiniz.
ALIŞTIRMALAR
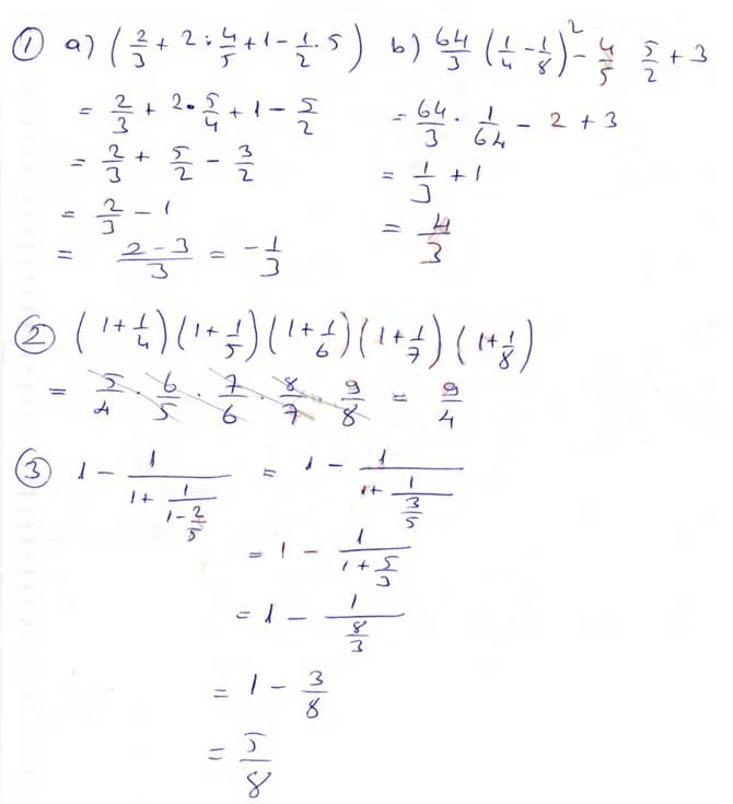
1. Aşağıdaki çok adımlı işlemlerin sonuçlarını bulunuz.
a) (2/3 + 2 : 4/5 + 1 - 1/2 . 5)
b) 64/3 . (1/4 - 1/8)2 - 4/5 . 5/2 + 3
2. (1+1/4) • (1+1/5) • (1+1/6) • (1+1/7) • (1+1/8) işleminin sonucunu bulunuz.
3. işleminin sonucunu bulunuz.

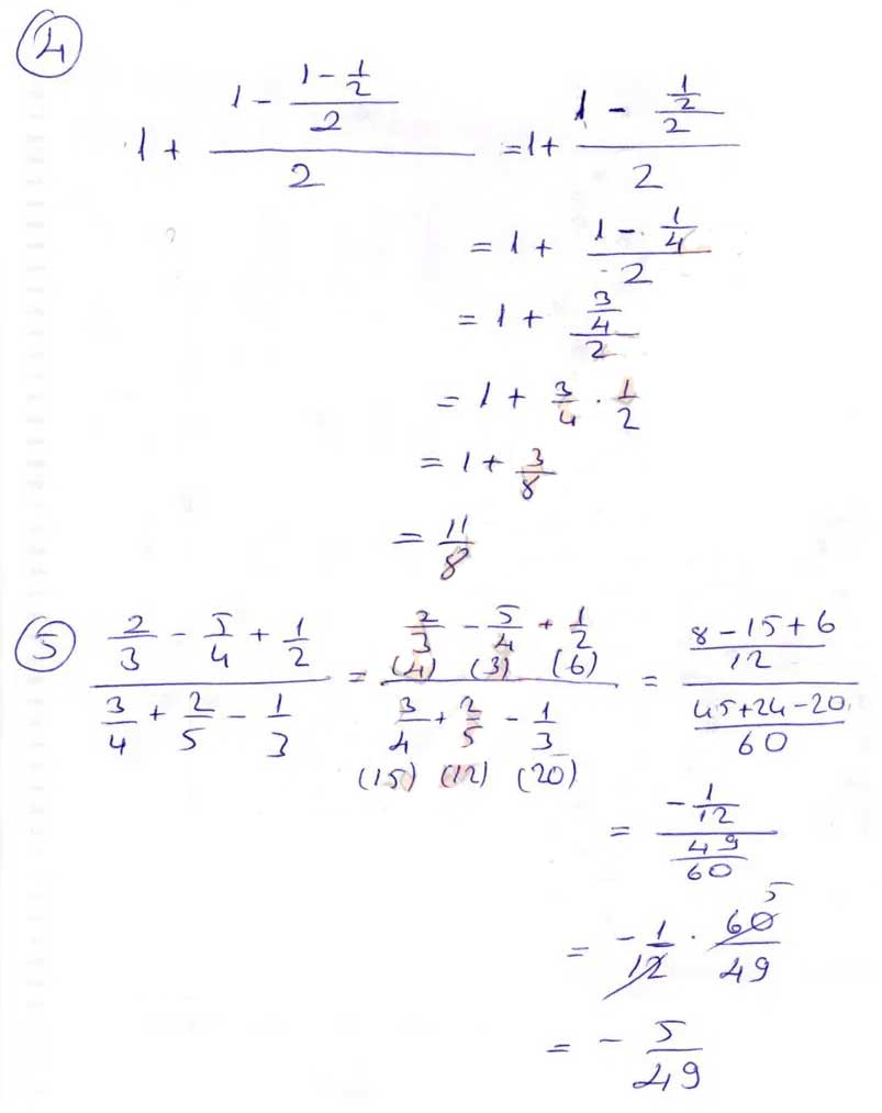
4. işleminin sonucunu bulunuz.
5. işleminin sonucunu bulunuz.

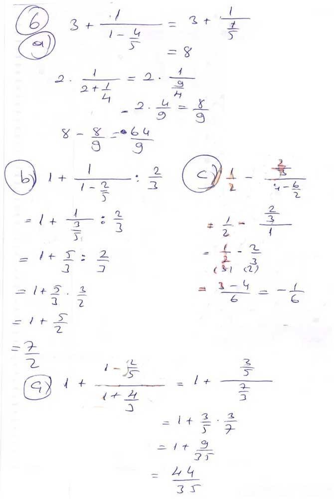
6. Aşağıdaki işlemlerin sonuçlarını bulunuz. İşlemler ile doğru sonuçları eşleştiriniz.
a. 3 + 1 / 1 – 4/5 – 2 · 1 / 2 + 1/4 ➜ I. - 1/6
b. 1 + 1 / 1 – 2/5 : 2/3 ➜ II. 64/9
c. 1/2 – 2/3 / 4 – 6/2 ➜ III. - 2/11
ç. 1 + 1 – 2/5 / 1 + 4/3 ➜ IV. 44/35, V. 7/2
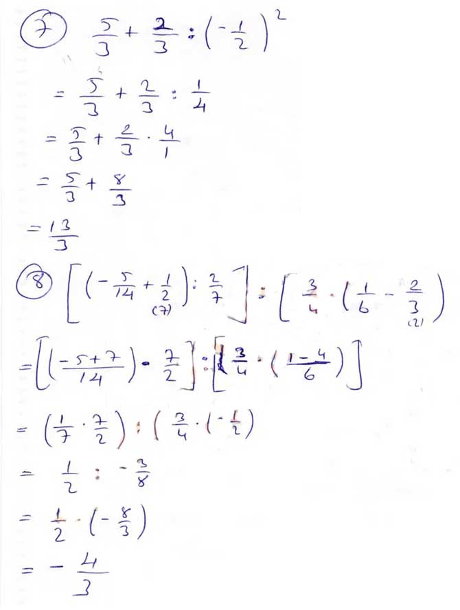
7. 5/3 + 2/3 : (-1/2)2 işleminin sonucu kaçtır?
A) 9/5 B) 11/4 C) 13/3 D) 12/7

8. [(-5/14 + 1/2) : 2/7 ] : [3/4 . (1/6 - 2/3)] işleminin sonucu kaçtır?

Kaynak:Eğitim Sistem
SORU & CEVAP
Yorumların her türlü cezai ve hukuki sorumluluğu yazan kişiye aittir. Eğitim Sistem yapılan yorumlardan sorumlu değildir.