11. Sınıf Matematik Ders Kitabı Sayfa 84 Cevapları Anka Yayınları
UYGULAYALIM 2-1
1. Analitik düzlemde köşelerinin koordinatları A(1,3),B(-2,1),C(2,1),D(-2, - 2) olan ABCD dörtgeninin kenar uzunluklarını bulunuz.

2. A(-3,1) ve B(m,1) olmak üzere A ile B noktaları arasındaki uzaklık 5 br dir. Buna göre m nin alabileceği değerlerin toplamını bulunuz.

3. P(-2, - 3) ve R(1, - 2) noktalarına eşit uzaklıkta bulunan y ekseni üzerindeki bir A noktasının ordinatını bulunuz.

4. M(-2,1) ve N(2, - 3) noktalarına eşit uzaklıkta bulunan ve x ekseni üzerinde bulunan bir B noktasının apsisini bulunuz.

5. Şekilde verilen A ve B noktaları arasındaki uzaklığı bulunuz.

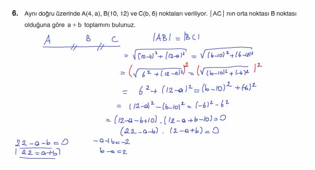
6. Aynı doğru üzerinde A(4, a), B(10, 12) ve C(b, 6) noktaları veriliyor. [AC] nın orta noktası B noktası olduğuna göre a + b toplamını bulunuz.

Not: Bu sayfadaki soru çözümleri zekihaber.com sitesinden alınmıştır.
Yorumların her türlü cezai ve hukuki sorumluluğu yazan kişiye aittir. Eğitim Sistem yapılan yorumlardan sorumlu değildir.