11. Sınıf Matematik Ders Kitabı Sayfa 75-76 Cevapları Anka Kuşu Yayınları
1. Değerlendirme Soruları
1. 320°nin radyan cinsinden eşiti aşağıdakilerden hangisidir?
2. Ölçüsü 5 9r olan açının derece cinsinden eşiti aşağıdakilerden hangisidir?
A) 324° B) 326° C) 328° D) 330° E) 345°

3. s^WAh = 90° ve s B 3 2r ^Wh = radyan olduğuna göre s^WAh+ s^WBh toplamının derece cinsinden değeri aşağıdakilerden hangisidir?
A) 90° B) 100° C) 210° D) 300° E) 320°
4. Bir ABC üçgeninde m^WAh = 35° 25l ve m^WBh = 42° 20l olduğuna göre m^XCh aşağıdakilerden hangisidir?
A) 100° 20l B) 102° 15l C) 105° D) 120° E) 125° 15l
5. Ölçüsü 5560° olan bir açının esas ölçüsü kaç radyandır?

6. Ölçüsü -1590° olan bir açının esas ölçüsü aşağıdakilerden hangisidir?
A) 100° B) 120° C) 180° D) 210° E) 270°
7. Tanımlı olduğu aralıkta tan cot x x1 1 + + ifadesinin eşiti aşağıdakilerden hangisidir?
A) sin x B) cos x C) secx D) tan x E) cot x
8. sin 20° = m olduğuna göre cos340°nin m türünden yazılışı aşağıdakilerden hangisidir?
A) –m B) m C) 1 m2 + D) 1 m2 - E) 2m

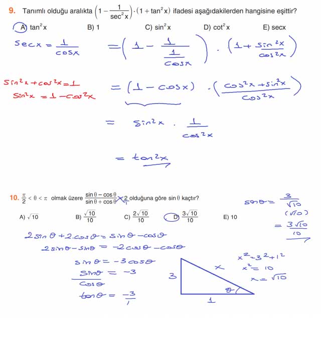
9. Tanımlı olduğu aralıkta · sec tan x 1 1 1 x 2 2 c - m ^ + h ifadesi aşağıdakilerden hangisine eşittir?
A) tan2 x B) 1 C) sin2 x D) cot2 x E) secx
10. = olduğuna göre sin i kaçtır?

11. ifadesi aşağıdakilerden hangisine eşittir?
A) tan 50° B) 1 C) cot 50° D) tan 40° E) cot 40°
12. 12. arctan x 2 1 = ise sin x kaçtır?

13. tan arcsin 5 3 c m ifadesi aşağıdakilerden hangisine eşittir?
14. sin arccos5 4 b l ifadesinin değeri aşağıdakilerden hangisidir?
15. sin arctan 4 cos arcsin 3 5 3 b l+ c m ifadesinin değeri aşağıdakilerden hangisidir?

16. Yandaki şekilde ABC üçgen, m_A%CBi = 120°, BC = 4 cm, AC = 5 cm olduğuna göre AB kaç cm dir?
17. Yandaki ABCD yamuğunda, 6AD@'6BC@ , AD = 3 cm, ise cos a kaçtır?
18. Yandaki ABCD karesinde DE = DF = 4 AE olduğuna göre sin a kaçtır?

Not: Bu sayfadaki cevaplar zekihaber.com sitesinden alınmıştır.
Yorumların her türlü cezai ve hukuki sorumluluğu yazan kişiye aittir. Eğitim Sistem yapılan yorumlardan sorumlu değildir.