10. Sınıf Matematik Ders Kitabı Sayfa 31-32 Cevapları Miray Yayınları
Öğrendiğimizi Uygulayalım
1. 1. 5 Öğrendiğimizi Uygulayalım
1. Aşağıdaki ifadelerin değerlerini bulunuz.
a. (5 0) = 1
b. (7 7) = 1
c. (12 1) = 12
ç. (11 2) = 55 --> 11 . 10 / 2 = 55
d. (9 6) = 84 --> 9 . 8 . 7 / 3 . 2 . 1 = 84
2. Aşağıdaki eşitliklere göre n değerlerini bulunuz.
a. C(2n, 2) = 5-C(n, 1) → 3
(2n) . (2n - 1) / 2 = 5n
2n - 1 = 5
2n = 6
n = 3
b. P(n, 3) = 4-C(n, 4) → 9
n . (n - 1) . (n - 2) = 4. (n - 1) . (n - 2) . (n - 3) / 24
6 = n - 3
n = 9
3. Bir yarışmanın yarı finalinde 16 yarışmacıdan 12’si elenecektir. Buna göre;
a. Finalde yarışacak finalistler kaç farklı şekilde seçilebilir?
Cevap: 1820
C(16 4) = 16 . 15 . 14 . 13 / 24 = 2 .5 . 14 . 13 = 1820
b. Yarışmacılardan ikisinin finali garantilediği belli olduktan sonra finalde yarışacak finalistler kaç farklı şekilde seçilebilir?
Cevap: 91
C(14 2) = 14 . 13 / 2 . 1 = 91
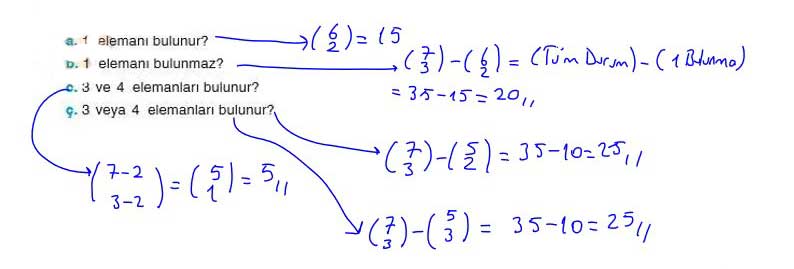
4. A = {1,2, 3,4, 5,6,7} kümesinin üç elemanlı alt kümelerinden kaç tanesinde;
a. 1 elemanı bulunur?
Cevap: 15
b. 1 elemanı bulunmaz?
Cevap: 20
c. 3 ve 4 elemanları bulunur?;
Cevap: 5
ç. 3 veya 4 elemanları bulunur?
Cevap: 25

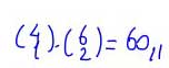
5. 4 doktor ve 6 hemşirenin bulunduğu bir gruptan 3 kişilik bir ekip oluşturulacaktır.
a. Ekipte 2 hemşire bulunması gerektiğine göre ekip kaç farklı şekilde oluşturulabilir?
Cevap: 60

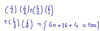
b. Ekipte en çok 2 hemşire bulunması istenirse ekip kaç farklı şekilde oluşturulabilir?
Cevap: 100

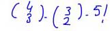
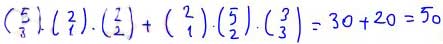
6. A = {1,2, 3,4, 5, 6, 7} kümesinin elemanlarından seçilen 3 tek ve 2 çift rakam ile 5 basamaklı rakamları farklı kaç sayı yazılabilir?
Cevap: (4 3).(3 2) . 5!
![]()
7. Bir öğrencinin seçebileceği 9 dersten 4’ü aynı gün, aynı saatte okutulmaktadır. 5 ders seçmek isteyen bu öğrencinin kaç farklı seçeneği vardır?
Cevap: (4 1).(5 4)+(5 5) = 21
8. Bir iş yerinde iki farklı proje ekibi kurulacaktır. I. proje ekibi en fazla 5, II. proje ekibi en fazla 4, iki proje ekibi de en az 2 kişilik olabilir. Buna göre;
a. 9 personel ile ekipler kaç farklı şekilde oluşturulabilir?
Cevap: (9 5).(4 4)

b. 7 personel ile ekipler kaç farklı şekilde oluşturulabilir?
Cevap: (7 5).(2 2)+(7 4).(3 3)+(7 3).(4 4)

c. 7 personelden belli ikisi aynı proje ekibinde olmamak üzere ekipler kaç farklı şekilde oluşturulabilir?
Cevap: (2 1).(5 3).(2 2)+(2 1).(5 2).(3 3)![]()
9. Aynı düzlemde bulunan 9 farklı doğru en fazla kaç noktada kesişir?
Cevap: 36
(9 2) = 9 . 8 / 2 . 1 = 36
10. d1 // d2 olmak üzere köşeleri yanda verilen şekildeki 7 noktadan herhangi üçü olan kaç üçgen çizilebilir?
Cevap: 30

11. (8 2)+(8 3)+(9 4)+(10 5) toplamım Pascal özdeşliğini kullanarak bulunuz.
Cevap: 462
28 + 56 + 126 + 252 = 462
12. 8 elemanlı bir kümenin;
a. En az 2 elemanlı kaç alt kümesi vardır?
Cevap: 247
b. En çok 5 elemanlı kaç alt kümesi vardır?
Cevap: 249

Yorumların her türlü cezai ve hukuki sorumluluğu yazan kişiye aittir. Eğitim Sistem yapılan yorumlardan sorumlu değildir.