10. Sınıf Aydın Matematik Sayfa 185-186 Cevapları
Sıra Sizde
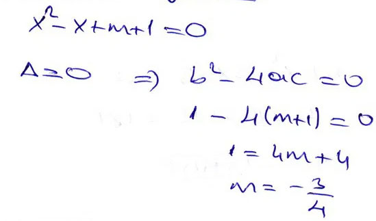
x2 – x + m + 1 = 0 denkleminin çakışık iki kökünün olması için m nin kaç olması gerektiğini bulunuz.

ALIŞTIRMALAR
1. 2xn–4 + 4x2 + 3x + 1 = 0 denklemi ikinci dereceden bir denklem olduğuna göre n nin alabileceği tam sayı değerlerini bulunuz.
2. x2 + (t + 1) x + 2t + 3 = 0 denkleminin bir kökü 3 olduğuna göre t değerini bulunuz.
3. Aşağıdaki denklemlerin diskriminantlarını bulunuz.
a. x2 – 5x – 1 = 0
b. x2 + 2x + 2 = 0
c. 4x2 – x – 1 = 0
4. Aşağıdaki denklemler ile çözüm kümelerini eşleştiriniz.

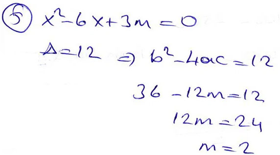
5. x2 – 6x + 3 m = 0 denkleminin diskriminantı 12 olduğuna göre m kaçtır?

6. Aşağıdaki denklemler için verilen ifadeler doğruysa boş kutulara “ D ” , yanlışsa “ Y ” yazınız.

7. x2 – 2x + m + 3 = 0 denkleminin gerçek kökleri olmadığına göre m nin değer aralığını bulunuz.
8. Aynı noktadaki iki araç aynı anda, “ 6. Şekil ” de gösterilen doğrultularda hareket ediyorlar. B aracı, A aracından saatte 5 km daha fazla hız yapmaktadır. Hareketlerinden 2 saat sonra aralarındaki mesafe 50 km olduğuna göre araçların hızlarını bulunuz.

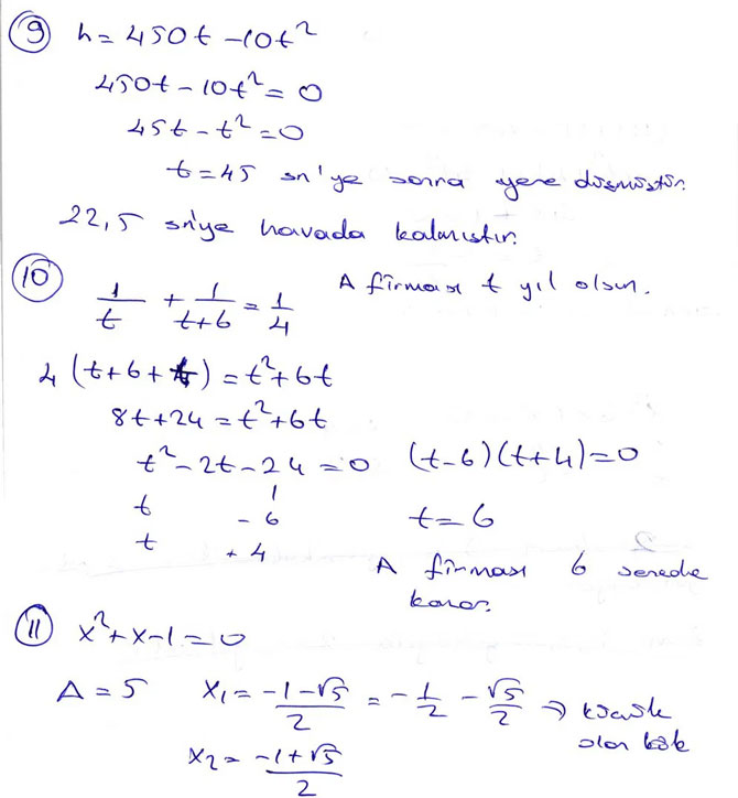
9. Batan bir gemiden yaşam botu ile kurtulan bir kazazede, botta bulduğu işaret fişeğini ateşlemiştir. Ateşlendikten t saniye sonra fişeğin yerden yüksekliği, h = 450 t – 10 t 2 ifadesi ile bulunabiliyorsa fişek kaç saniye havada kalmıştır? Neden?
10. İstanbul Boğazı’na inşa edilecek tüp geçit için A firması Avrupa yakasından, B firması da Asya yakasından kazı çalışmalarına başlamıştır. Teknik olarak daha iyi makinelere sahip olan A firması, tüneli tek başına B firmasından 6 sene daha kısa sürede kazabilecektir. Her iki firma, tüneli 4 senede kazabileceklerine göre A firması bu tüneli kaç yılda kazar?
A) 4 B) 6 C) 8 D) 10 E) 12
11. x2 + x – 1 = 0 denkleminin köklerinden küçük olanı aşağıdakilerden hangisidir?

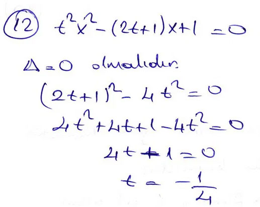
12. t ≠ 0 olmak üzere, t 2 x 2 – ( 2 t + 1 ) x + 1 ifadesinin tam kare olması için t kaç olmalıdır?

Kaynak:Eğitim Sistem
Yorumların her türlü cezai ve hukuki sorumluluğu yazan kişiye aittir. Eğitim Sistem yapılan yorumlardan sorumlu değildir.